Now that Joko Widodo has been certified as the victor in Indonesia’s 2019 presidential elections, the question turns to what happened. While the current media focus is rightly on the post-election violence that wracked Jakarta last week and who is responsible for it, we also need to understand what drove the electoral results themselves. Several enterprising scholars of Indonesian politics have been scraping the election results from the Electoral Commission’s website, and two of them—Seth Soderborg and Nick Kuipers—were kind enough to share the district-level results with me. Combined with the results from the 2014 presidential election, which Jokowi also won over Prabowo, we can examine how voters responded to the same presidential candidate in the context of increasingly prominent identity politics.
Where did Jokowi win votes?
The first thing to look at is the difference in vote share for Jokowi-Amin (JA) in 2019 versus Jokowi-Kalla (JK) in 2014. The figure below arranges all districts from highest to lowest vote share for Jokowi in 2014, and then shows how results have changed from 2014 (grey) to 2019 (red). This is called a “dumbell plot”. The results, broken down by province, are revealing. (Here is a large PDF version.)

CLICK TO ENLARGE
The first two provinces in the figure, Aceh and Bali, tell most of the story. In the overwhelmingly Muslim province of Aceh, support for Jokowi collapsed, even relative to its modest base. In the predominantly Hindu province of Bali, by contrast, Jokowi’s vote shares increased substantially. Similar patterns are visible in other largely Christian provinces like East Nusa Tenggara and North Sulawesi. This evidence is consistent with a hardening of a religious cleavage across the country: Prabowo’s campaign appealed to Muslims, and Jokowi’s to non-Muslims.
Indonesia’s election and the return of ideological competition
Renewed rivalry between pluralists and Islamists coexists with catch-all patronage politics.
But the most important provinces to note are Central and East Java.[1] These are provinces with large Muslim majorities where Jokowi performed well in 2014, but where he has performed even better in 2019. The obvious explanation is that these provinces, along with Yogyakarta, are overwhelmingly Javanese. Compare, for example, Jokowi’s performance in East/Central Java to his performance in West Java, where Javanese are an ethnic minority. This correlation even holds within East Java: Jokowi fared worst in the districts on Madura, where Madurese are the majority ethnic group.[2]
Religious and ethnic cleavages
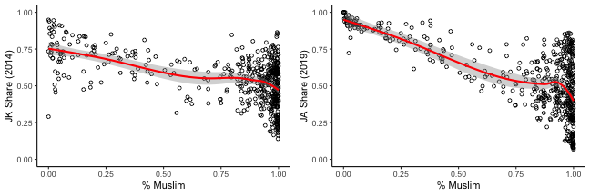
To visualise the relationship between religion and support for Jokowi more clearly, we can compare Jokowi votes share and each district’s Muslim population share using demographic data available from IPUMS-International. Here is what that looks like, both in 2014 (left) and 2019 (right). The red lines are lowess fits that predict the relationship between the two variables.
Clearly, Muslim-minority districts have voted overwhelmingly for Jokowi. This is quite apparent in provinces like North Sumatra, where we observe a growing split between predominantly Christian districts that support Jokowi, and predominantly Muslim ones that supported Prabowo. It is also true in the otherwise heavily Muslim province of South Sulawesi, where the majority Protestant Torajan districts bucked the trend identified previously. But among Muslim-majority districts, there is wide variation in Jokowi support. This reflects the differences between Muslim Aceh and Muslim Java. Comparing both the spread around the lowess fit line for 2014 and 2019 and the increasingly steep fit in 2019, moreover, we discover that the relationship between religion and support for Jokowi is stronger in 2019 than it was in 2014. The correlation between Muslim population share and opposition to Jokowi also seems to repeat itself across Indonesia’s regions.
Altogether, these patterns in the data are consistent with a growing cleavage between Muslims and non-Muslims alongside an ethnic cleavage between Javanese and non-Javanese.
We can further investigate the importance of the Javanese/non-Javanese cleavage by looking to the places where Jokowi’s vote share increased relative to 2019. The next figure examines Jokowi’s vote share in 2019 (left) and his increase in support (or “swing”) from 2014 to 2019, comparing Javanese-majority districts versus all others.
Not only did Jokowi win in nearly every Javanese-majority district in 2019, he also improve on his 2014 performance in nearly every Javanese-majority district.
Identity versus development
Do these patterns reflect something else besides religion and ethnic identity? Perhaps Jokowi also appealed more to poor, rural, or isolated voters in the economically lagging parts of the outer islands. And perhaps Prabowo’s appeal lay with the relatively prosperous segments of Indonesian society, the urban middle classes in particular. We need individual level voting behaviour to test these hypotheses, and that is unfortunately not available. But we can nevertheless test whether these patterns appear in the aggregate data as ecological correlations by running a simple regression that predicts 2019 JA share as a function of 2014 JK share, total turnout (a coarse measure of district population), district-level demographic variables (% Muslim, % Javanese, and ethnic fractionalisation calculated as ELF), an index of average household material development, and an index of district urbanisation, as well as province fixed effects (omitted from the presentation below). All of these data are available from IPUMS, as with the data on religion and ethnicity that I used above. To test whether the effect of Muslim population share varies by demographic or development indicators, additional models allow this variable to interact with these variables.
These results comprise fairly strong evidence that Jokowi did systematically better in 2019—net of his 2014 performance—the greater the Javanese population share, and worse the greater the Muslim population share. No other demographic or development variable appears to predict how well Jokowi performed.[3] There is also only limited evidence that the relationship between Muslim population share and Jokowi support differs substantially based on any other factors; see, for example, the marginal effects of Muslim population share across the range of district urbanisation (plot is via interflex).
The negative correlation between Muslim population share and Jokowi-Amin vote share in 2019 is higher in the most urbanised tercile of districts than in the least urbanised districts (p=0.0271), but that is about all that we can conclude.
National versus regional factors
In analysing district electoral results this way, the goal is to balance specificity and generality. In principle it could be possible to explain fully the pattern in results across Indonesia with reference to a small number of national factors. But reality will always be more complicated than that, with local and regional factors playing a role that will be nearly impossible to capture using a statistical approach such as this one.
As a final step in the analysis, we can return to the list of provinces above to see whether these differences can be fully explained with reference to religious and ethnic cleavages. To do so, I plot the province fixed effects from the first regression model, with Jakarta (where Jokowi and Prabowo performed about equally) as the baseline category. We can interpret these results as the difference by province in Jokowi’s performance relative to Jakarta, and adjusting for the district characteristics listed above.
Accounting for religion helps to explain the results for provinces like Bali and East Nusa Tenggara, and accounting for ethnicity helps to explain the results for Yogyakarta, but even so there is more to explore in provinces like Aceh, Gorontalo, and West Sumatra. These are provinces where something more than Indonesia’s emerging national cleavage structure of Muslim/non-Muslim and Javanese/non-Javanese is at play.
NOTES
[1] Some of the East Java data were taken from KawalPemilu due to problems with the original KPU site.
[2] I have no explanation for his relative success in Bangkalan, also a Madurese-majority district on Madura.
[3] In results not reported here, I’ve used a lasso regression approach to sort through all pairwise interactions of predictors in search of good predictors of JA vote share. The lasso selects Muslim population share as well as Javanese population share interacted with a range of other variables.
Editor’s note: this analysis first appeared at the author’s personal research blog, and is republished at New Mandala with permission. The post originally referred to the Toraja area in Sulawesi as “majority Catholic”, this was in error and has been corrected to read “majority Protestant”.
Facebook
Twitter
Soundcloud
Youtube
Rss





